Departamento del Tesoro emite licencia para autorizar comercio de oro venezolano

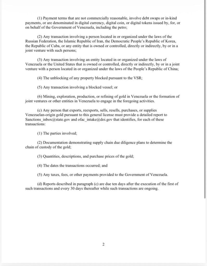
El Departamento del Tesoro de Estados Unidos emitió la Licencia General N.º 51, que permite a las entidades estadounidenses establecidas exportar, refinar y revender oro de origen venezolano, incluyendo operaciones con Minerven y sus entidades, bajo condiciones estrictas de cumplimiento legal y reporte.La licencia exige que los contratos se rijan por leyes estadounidenses, que cualquier pago a personas bloqueadas se haga en cuentas especiales y que se reporte detalladamente la cadena de custodia, cantidades, precios y pagos al Gobierno de Venezuela.
Sin embargo, la licencia prohíbe: pagos en monedas digitales venezolanas, transacciones con Rusia, Irán, Corea del Norte, Cuba o China, desbloqueo de propiedades bloqueadas, operaciones con barcos bloqueados y la minería o refinación de oro en Venezuela.Los informes sobre estas transacciones deben enviarse diez días después de la primera operación y cada 30 días mientras continúen. La medida busca permitir el comercio seguro de oro venezolano sin violar las sanciones impuestas.
La medida abre la puerta a que actores estadounidenses participen en actividades comerciales vinculadas con el metal precioso producido por la empresa estatal venezolana, lo que podría facilitar la circulación del oro en mercados internacionales bajo las regulaciones del gobierno de Estados Unidos.La Licencia General 51 forma parte del sistema de autorizaciones que la Ofac utiliza para permitir determinadas operaciones que, de otro modo, estarían restringidas por las sanciones económicas aplicadas a Venezuela.



Versión Final



